如果我们亲自去抛10次硬币,可能得到的结果中,大多数时候硬币都朝向某一面。这是合理的现象。
因为在许多不可控因素的影响下,抛出次数较少时,结果可能出现较大偏差。而按理来说,抛硬币的次数越多,得到正反面的频次也会越接近标准结果1:1。
数理统计学创始者卡尔·皮尔逊(Karl Pearson)就曾在实验中抛了2万多次硬币,印证了这一规律。

然而,近期,一群研究者的实验却让这一条人们都默认的“真理”陷入了“打假”风波中——他们花了20个小时的时间,用46种不同质地的硬币,将其向上抛了350757次,比卡尔·皮尔逊抛的次数还要多得多……得到的结果,却并非是理论预测的1:1,反而更偏向于某一面朝上。
这是怎么回事?难道概率论不存在了?还是他们的实验存在什么不经意间的差错?或者是抛的次数还不够多?

35万次抛硬币的实验结果
2022年12月9日,一个名为“Coin Tossing Team”的用户开始在全球最大的视频平台YouTube上发表视频,殊不知这即将在抛硬币概率的研究领域引起争议。
他们发表的第一个视频长达12小时,标题名称是“Coin Tossing Marathon(4th of December 2022)”,翻译过来的意思与其用户名“抛硬币队”相对应,为“抛硬币马拉松(2022年12月4日)”。正如其名,视频一镜到底地记录了这个团队的8名成员一刻不停地抛硬币,并记录结果的过程。

随后的视频发布在2023年1月23日,时长达到8小时,记录的是团队的更多人员在2023年1月14日进行抛硬币实验的过程。此后,账号又发布了记录2023年1月20日团队成员抛硬币的过程,时长有2个半小时。
在三个视频加起来的20多个小时里,这个抛硬币团队中这些“无聊”的实验者,用多达46种不同质地、设计、重量、材料的硬币,一刻不停地进行了整整350757次的抛硬币实验,并发现了那“推翻真理”的“1%的偏差”。

根据实验结果,如果将在手中是正面朝上的硬币抛向空中,那么最终硬币落下时,正面朝上的概率将略大于反面朝上的概率,反过来也是一样的。也就是说,抛出的硬币得到的面向结果,与硬币抛出前的初始面向有更高的概率是相同的,而这个概率约为51%。
实验整体带来的结果如此,不过,细心的研究人员也发现,在实验者内部还有不同的差分。一部分实验者的抛硬币结果如上所述,有更高的概率抛出硬币抛前的起始面;而另一部分实验者的抛硬币结果却更符合理论预测的对半开。
随后,团队将他们的研究成果发布在了收集物理学、数学、计算机科学与生物学的论文预印本网站arXiv上——只等同行进行更多审阅,这一问题就能得到更广泛的讨论。

51%的概率看似还在理论中“1:1”的误差范畴内,但实际上,在排除了硬币重量不均的条件后,在严谨的数学领域中,这已经是一个相当大的误差。毕竟,实验的次数——35万次,已经设置得足够多了。
但51%的概率却并非表现在每一个研究人员的结果之中,这说明抛硬币的结果可能是受个人因素影响而发生变化的——通俗地说,就是研究人员抛硬币的方式(比如手势和力度)存在着微妙的不同,这就导致了结果的巨大差异。

“控制”硬币落面的方式
要想说明这一点,我们必须将硬币在空中翻转的过程放慢上百倍,细细地分解它的受力。在观察硬币的空中姿态后,你就会理解,为什么魔术师能神奇地保证抛出的硬币落下的一面和你猜得一样,甚至在勤加练习之后,你也能学会这种“控制”硬币落面的办法。
在理想的环境条件下,忽略空气阻力对硬币的影响,当我们垂直地把硬币抛向空中,可以看到这样的画面:硬币在绕着一条轴线做翻转运动。而这条轴平行于地面,且穿过硬币的中心。

硬币最终会落向哪一面?这其实从硬币还在空中时就已经被决定好了。如果硬币在空中翻转了偶数次,那么最终落面就会与其初始面相同;如果硬币在空中翻转了奇数次,那么最终落面就会与其初始面相反。而硬币在空中的翻转次数其实与它被抛向空中时的初速度以及落回手中的时间有关。
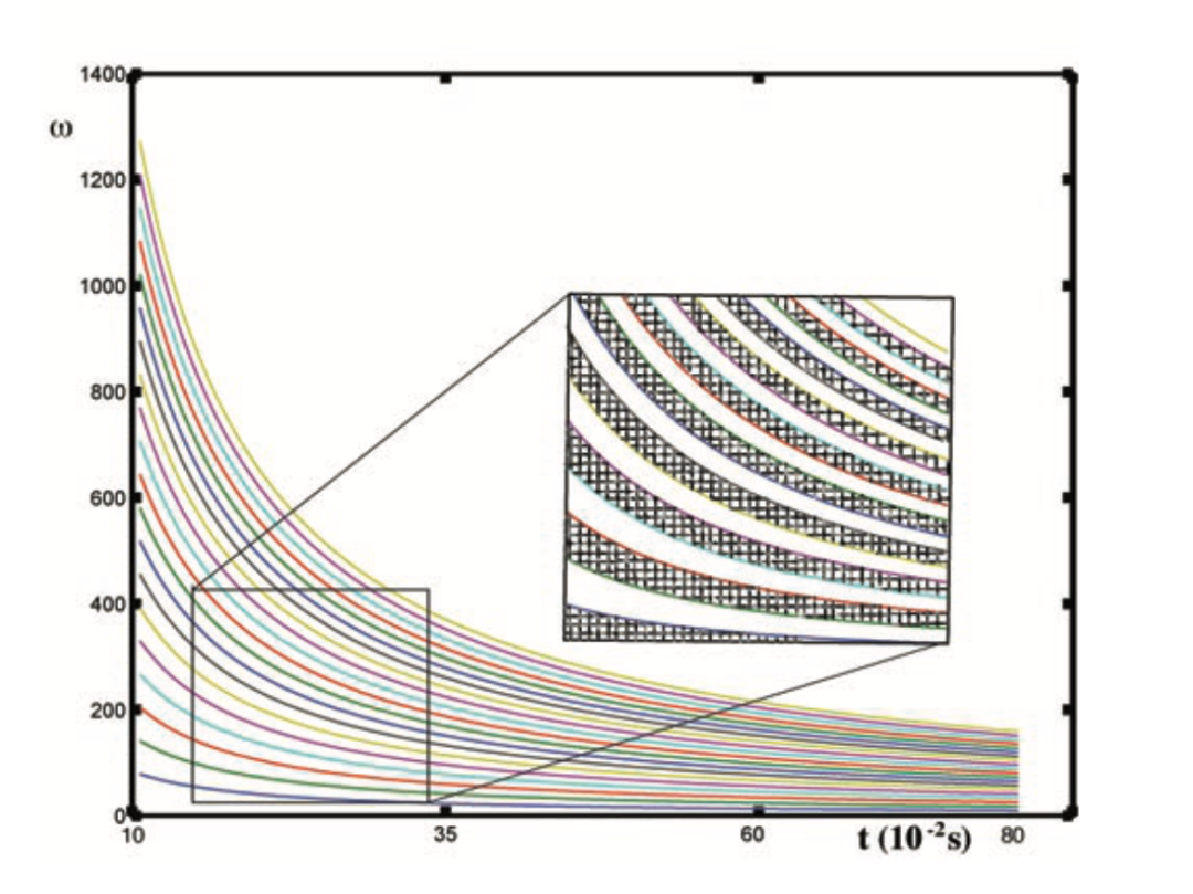
数学家佩尔西・戴康尼斯(Persi Diaconis)在其2007年的实验中,就这几个数量的关系做出了双曲线图,如下所示:

图中竖轴的ω表示的是硬币的翻转速度,而横轴的t表示的是时间。如果硬币的翻转速度和时间恰好落在图中放大的阴影部分里,那么硬币落面就会与初始面相同;如果落在空白部分中,那么硬币落面就会与初始面相反。
在这个模型中,阴影部分和空白部分的面积其实是一样大的,这也就印证了抛硬币落面结果概率为1:1的规律。
也就是说,在理论上,如果你可以精准地控制力度,将硬币竖直地向上抛,让其翻转速度和下落时间保持一定的比例,那么你就可以控制硬币的落面。戴康尼斯在实验中制造的装置可以印证这一点,它使硬币可以按规定的力度,朝规定的角度抛射,并落到指定位置,最终硬币的落面在100%的情况下和其起始面都相同。

到这里,“Coin Tossing Team”的实验中出现1%偏差的答案就昭然若是了——原因在于,团队进行实验的过程中全靠人力抛硬币,而人抛硬币时往往是无法精确控制其力度的,自然也不可能保证硬币永远都是竖直地向上抛投,这就是问题的关键所在。
也就是说,人在抛投硬币时和机械装置不同,被抛出去的硬币在空中翻转时围绕的轴并不像理论中理想条件下那样,总是平行于地面,而是与地面形成不断变化的夹角,这使得硬币的初始面在空中朝上的时间会相对更长一些。这也就导致了,当人为地抛硬币时,初始面朝上的概率会略高于另一面朝上的概率。

不过,在实际的魔术中,魔术师们可不会用自己的职业生涯去赌这多出1%的偏差概率,而是更多地用“手法”,使得硬币在空中看起来好像在翻转,但实际上却一直保持着初始面朝上的姿态。
把这手法练熟了,你甚至可以让硬币在空中“静止”,完全直上直下,没有任何一点角度的偏差。

抛硬币真的公平吗?
看来,抛硬币决定一件事情,还真没我们想象中那么公平。除了人力抛硬币的“不完美”之外,也有人指出,硬币本身就不是一个完美的轴对称体,它两面的图案都是不同的,且现有的制造工艺也无法保证其图案是完全对称的。甚至,硬币在使用中也会存在磨损,这就使得它各面受到的力更不相同。
因此,有网友对科学家们做的抛硬币实验说出了这样的“锐评”:“看就知道这实验不严谨!要真的想探究抛硬币概率,至少也得把空气全抽光,把硬币质地做到完全均匀,而且还要用机器提供每次大小和方向都完全一样的力,得到的结果才有说服力。”

虽然现实中的抛硬币做不到完全公平,但这一方式仍然不会在比赛或是其他比较正式的场合中被取缔,因为人、硬币本身等种种因素的影响,实际上仍然无法准确地预测某一枚硬币的某一面在落地后朝上的概率更高,因此抛硬币还是一个相对公平的方式,颇有将一切都交给“命运”的意义在内。
看了这么多,下次和朋友打赌时,你心里也应该有数选哪一面了——就选初始朝上的那一面!虽然只高了那么1%的概率,还会受各种复杂的因素影响,你也有更大的可能性赌赢——至少,在心理层面有更大的可能性。
友情提示
本站部分转载文章,皆来自互联网,仅供参考及分享,并不用于任何商业用途;版权归原作者所有,如涉及作品内容、版权和其他问题,请与本网联系,我们将在第一时间删除内容!
联系邮箱:1042463605@qq.com